| 일 | 월 | 화 | 수 | 목 | 금 | 토 |
|---|---|---|---|---|---|---|
| 1 | 2 | 3 | ||||
| 4 | 5 | 6 | 7 | 8 | 9 | 10 |
| 11 | 12 | 13 | 14 | 15 | 16 | 17 |
| 18 | 19 | 20 | 21 | 22 | 23 | 24 |
| 25 | 26 | 27 | 28 | 29 | 30 | 31 |
- 륀트겐
- 결정립
- 그루데 이론
- 재료열역학
- 특성스펙트럼
- 라만 분석기
- 에디슨의 패배
- laue
- 재료과학
- 에너지 역학
- von laue
- 전자의 속도
- 전기장이 가해진
- 슬립계
- 3 o'clock things
- 결정구조학
- X선
- 화합물 반도체
- X선의 발견
- X선 공학
- 분해전단응력
- 라만 분석
- 연속스펙트럼
- X선 기초
- 일상
- 빛의 손실
- drude
- 흡광
- Raman
- 라만 현상
- Today
- Total
공머생의 공부노트
무한한 사각형 우물 해석하기 본문
슈레딩거 방정식은 입자의 움직임을 파동 함수의 형태로 기술하고, 특정한 퍼텐셜이 가해짐에 따라 해당 입자의 파동함수를 내놓는다. 즉 고전적인 물리 상황에서도 물질의 파동성이 매우 작다는 것을 간주하면 그대로 적용이 가능하다는 의미다.
그렇다면 파동함수로 얻어낸 그 입자의 상태는 진짜 현실의 입자를 설명할 수 있을까?? 이를 위해 슈레딩거 방정식을 적용하고 고전적인 해석과 비교해볼 수 있는 이미 해석되고 증명된 예제들이 있다. 그 중에서 무한한 포텐셜 상황을 가정하는 무한한 사각형 우물을 해석해보겠다.

1. x가 0<x<a가 아닌 구간에서
x가 0<x<a가 아닌 구간에서는 입자가 존재할 수 없다. 그러므로 ψ(x) = 0이 된다. 시간에 무관한 방정식에 적용시키더라도 V = ∞ 가 되므로 계산이 불가하다.
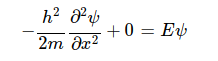
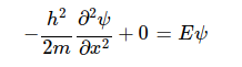
2. x가 0<x<a인 구간에서
x가 0<x<a인 구간에서는 V = 0이다. 그러므로 슈레딩거 방정식은 아래와 같이 주어진다.

V = 0이 됨으로서 슈레딩거 방정식은 2계도 미분방정식이 된다.
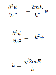
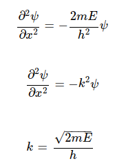
식을 이항하여 미분항이 잘 보이게 정리하면

E,h,m은 상수이므로 k 치환하여 함수의 꼴을 확인하면 ψ(x)는 자기 자신을 2번 미분하면 - ψ(x)가 되는 함수이어야 한다. 이를 만족하는 함수는 대표적으로 sin(x), cos(x)가 있으므로 ψ(x) = Asinkx+Bcoskx 꼴이 된다. (ψ(x) = e^kx도 가능하지만 이는 지금은 사용하지 않는다)

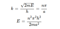
이제 ψ(x)의 함수를 알아냈으므로 경계조건과 규격화를 통해서 남은 상수들을 알아내야 한다. 대표적으로 x=0, a에서 입자가 존재할 수 없다.

결국 ka는 sinka = 0이 되는 조건을 만족해야 하므로 k = nπ/a가 되며 k의 값에 영향을 끼치는 것은 E이 므로

라는 결과를 얻게 된다. 이때 E는 ψ(x)의 파동함수를 가지는 입자의 에너지를 의미하고 n의 값에 따라 에너지는 기하급수적으로 커지게 된다. 이때 n을 주양자수(principal quantum number) 라고 하며 ψ(x)를 에너지에 따라 구분하게 된다.
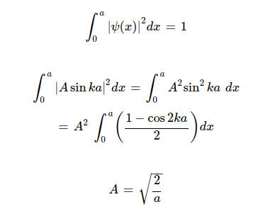
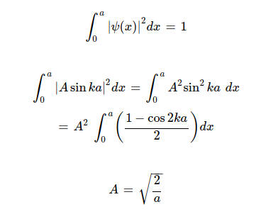
파동확률밀도는 모든 구간에서의 합이 1이 되어야 하므로(확률의 합은 1이 되어야 하므로, 이를 규격화 과정이라고 한다)

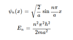
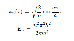
결과적으로 무한한 사각형에서의 계산된 함수와 에너지는 아래와 같다.

3. 실제 계산된 결과 확인하기
확률밀도함수는 정상상태를 만족시킬 때만 존재하며 n의 값이 커짐에 따라 달라진다. 아래 프로그램에서 실제 값을 확인해볼 수 있다. 왼쪽 클릭은 n의 차수가 높아지고 오른쪽은 n의 차수가 작아진다.
'물리학 > 양자역학' 카테고리의 다른 글
| 흑체 복사와 레일리 진스 법칙 유도 (1) | 2025.02.15 |
|---|---|
| 시간에 무관한 슈레딩거 방정식 (0) | 2023.01.24 |