| 일 | 월 | 화 | 수 | 목 | 금 | 토 |
|---|---|---|---|---|---|---|
| 1 | 2 | 3 | 4 | |||
| 5 | 6 | 7 | 8 | 9 | 10 | 11 |
| 12 | 13 | 14 | 15 | 16 | 17 | 18 |
| 19 | 20 | 21 | 22 | 23 | 24 | 25 |
| 26 | 27 | 28 | 29 | 30 |
- laue
- 화합물 반도체
- 라만 현상
- X선
- 연속스펙트럼
- 분해전단응력
- 륀트겐
- 일상
- 결정립
- 전자의 속도
- 슬립계
- X선의 발견
- 라만 분석기
- 에디슨의 패배
- 에너지 역학
- 재료과학
- 전기장이 가해진
- 3 o'clock things
- 흡광
- 특성스펙트럼
- drude
- 재료열역학
- 그루데 이론
- X선 공학
- X선 기초
- Raman
- von laue
- 빛의 손실
- 라만 분석
- 결정구조학
- Today
- Total
공머생의 공부노트
전류와 전기장에 의한 전자의 이동 본문
기존의 전자의 충돌을 바탕으로 전류를 정의한 Drude 이론에 의해 전자가 전하를 운반 하는 주요 요소로서 너무 당연하게 이해 되었다. 드루데 이론에서는 전기장이 가해진 전자가 (전압이 가해진) 상황에서 이동할 때 충돌 시간을 T로 가정하고 이데 의한 영향을 고려하여 전류에 대한 공식을 만들 수 있다.
1. 고체 내에서 전류(전류밀도)의 정의

물질 내에 일정량의 전류가 흐른다면 면적 A와 dx를 곱한 작은 부피에 n의 전자밀도로 (공간에서) q의 전하를 가지고 V의 속도로 흐른다. 이를 dx가 충분히 작은 영역에서는 I는 A라는 면적과 그 순간의 전자의 밀도와 전자의 속도에 비례한다.

같은 내용을 다시 써보자 이때 편의를 위해 n의 밀도요소에 A를 합쳐버리면 위의 그림과 같이 표기할 수 있다. 그 다음에는 전기장 하에 있는 전하가 고체 안에서 어떻게 움직이게 되는지를 고려해야 한다.
Drude 법칙에 의한 전류의 정의
우선 v라는 속도로 운동하는 입자는 전기장 or 자기장에서 힘을 받게 되고 여기서는 전기장에 의한 영향만 있다고 가정하자. (다만 전기장이 변하면 자기장이 생긴다 = 머리가 아파지니 전기장은 변하지 않는다)

전압을 가하는 상황은 즉 전기장이 생기는 것이고 이때 입자가 받는 힘은 (속도에 무관하게) -eE만큼의 힘을 받게 된다. 전기장의 방향과는 반대로 힘을 받는다. 전기장이 생성되는 방향은 전압의 +에서 -방향으로 생성된다(헷갈리니 주의해야 한다). 결과적으로 전자는 +전압이 있는 곳으로 끌리고 힘은 모든 구역에서 동일하게 받는다.

이때 전자는 원자 내의 가전자나 안정하여 움직이지 않는 전자에 의해 충돌하고 지속적으로 운동량을 뺏기게 된다. 드루데 이론에서는 3가지 조건을 정의한다.
(1) 전자는 마치 입자와 같으며 주기적으로 충돌한다
(2) 전자는 충돌시 모든 운동량을 손실당하며 속도는 0이다.
(3) 충돌 주기는 τ로 정의한다.

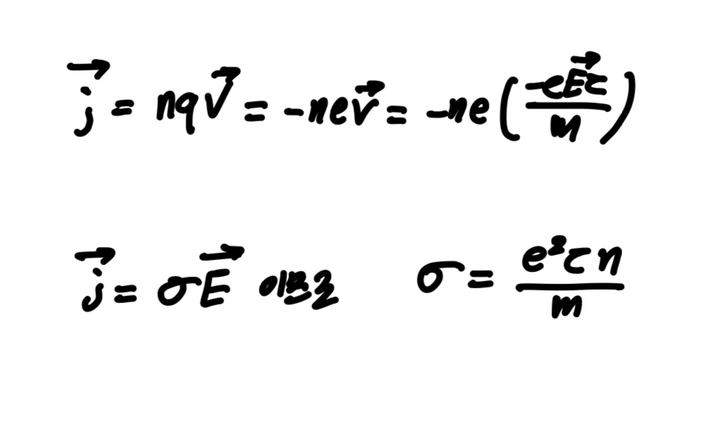
운동량의 시간에 따른 변화량은 전기장에 의한 힘 + 충돌 이벤트에 이해 주기적으로 손실되는 힘의 합으로 나타낼수 있는데 운동량이 p=mv 라는 점을 이용하여 전자의 속도를 구할 수 있다.

구해진 전자의 속도는 그대로 전류밀도로 나타낼 수 있고 V =IR에서 R을 구하듯, 전류밀도와 전기장의 관계에서 전도도에 대한 공식을 구할 수 있다.
'재료공학 > 반도체 공학' 카테고리의 다른 글
| Architecture and CMOS (0) | 2025.06.10 |
|---|---|
| Hall 측정과 Hall 계수 (0) | 2024.10.19 |
| 반도체의 종류 (0) | 2022.03.11 |
| 반도체의 특성 (0) | 2022.03.11 |
| 반도체의 정의 (0) | 2022.03.10 |