Notice
Recent Posts
Recent Comments
Link
| 일 | 월 | 화 | 수 | 목 | 금 | 토 |
|---|---|---|---|---|---|---|
| 1 | 2 | 3 | ||||
| 4 | 5 | 6 | 7 | 8 | 9 | 10 |
| 11 | 12 | 13 | 14 | 15 | 16 | 17 |
| 18 | 19 | 20 | 21 | 22 | 23 | 24 |
| 25 | 26 | 27 | 28 | 29 | 30 | 31 |
Tags
- 결정립
- 흡광
- 라만 분석
- 재료열역학
- Raman
- 슬립계
- 특성스펙트럼
- 재료과학
- 그루데 이론
- 연속스펙트럼
- 에디슨의 패배
- 전자의 속도
- 륀트겐
- von laue
- 분해전단응력
- 3 o'clock things
- X선
- drude
- X선 기초
- 라만 분석기
- 화합물 반도체
- 일상
- 전기장이 가해진
- 에너지 역학
- 빛의 손실
- X선 공학
- X선의 발견
- laue
- 라만 현상
- 결정구조학
Archives
- Today
- Total
공머생의 공부노트
SC, BCC, FCC의 역격자 공간 유도 본문
반응형
1. SC의 역격자 공간

simple cubic은 기본 벡터가 직교좌표계와 유사하며 모두 서로 직교한다는 특징을 가진다. 하지만 벡터의 크기는 a이다.

역격자 관계로부터 역격자의 크기는 1/a가 되며 방향은 각각에 대응되는 기본 벡터와 같다.

2. FCC의 역격자 공간

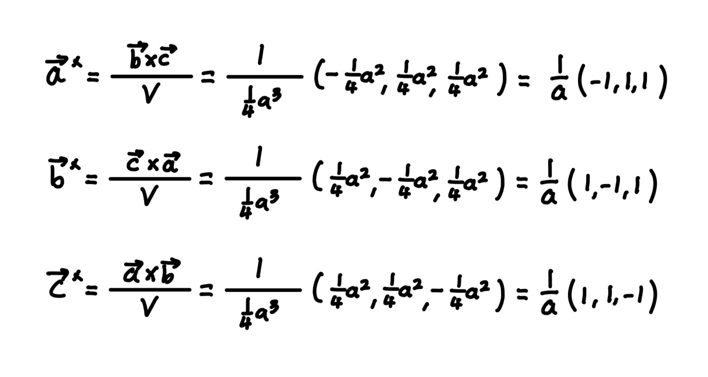
FCC의 기본격자는 각 면의 중심 지점에 하나씩 존재한다. SC와 다르게 FCC는 unit cell내에 (000), (½0½), (0½½), (½½0)에 원자가 존재하기에 이런 식으로 기본 병진 벡터를 정의할 수 있다.

unit cell의 V를 a(b*c)의 부피 공식으로 구하게 되면 1/4a^3를 얻을 수 있고 이를 바탕으로 역격자를 계산할 수 있다.


역격자 벡터는 unit cell 밖으로 이어져 있으며 이는 BCC의 기본벡터와 완전히 동일한 형태이다. 즉 FCC의 역격자는 BCC가 된다.

3. BCC의 역격자 공간

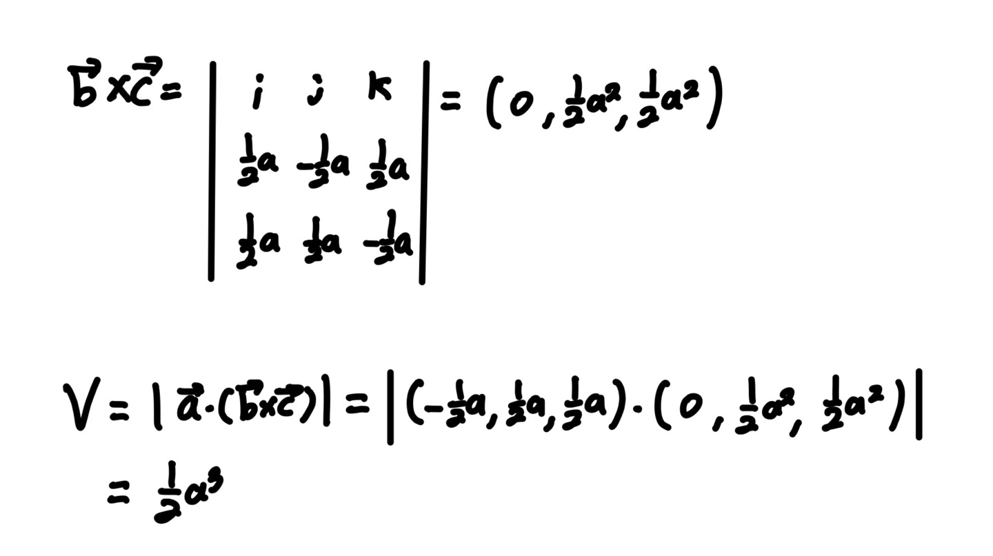
BCC에서 원자의 위치는 (000), (½½½)의 두 지점이다. 기본 벡터는 unit cell의 각 면에 맞닿은 각 cell의 중심점으로 정의되며 SC unit cell의 크기를 넘어서서 기본 벡터가 정의된다.

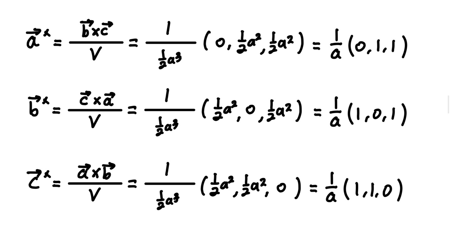
앞선 방식과 마찬가지로 unit cell의 부피를 구하면 FCC의 두배인 1/2a^3가 나온다.


역격자 벡터는 FCC의 기본벡터와 완전히 동일한 형태를 가지며 크기는 실제 격자보다 작아진다. 즉 BCC의 역격자는 FCC가 된다.

'재료공학 > 결정구조학' 카테고리의 다른 글
| 4. 7가지 기본격자와 브라베 격자 (0) | 2023.09.29 |
|---|---|
| 3. 공간상의 대칭 (5가지 회전 대칭) (0) | 2023.03.26 |
| 2. 대칭요소 (0) | 2023.03.26 |
| 1. 격자와 단위포 (0) | 2023.03.21 |
| 규산염의 결정구조 (0) | 2021.06.12 |
Comments